【書摘】《做個有智慧的跑者》馬拉松比賽的配速方法
|
跑步技術的知識與評量方法,是一個很特別的主題,原因是影響長距離跑步表現的因素,主要是跑者的心肺功能,而且不同能力的跑者並不會有一致的跑步技術。跑步時的著地時間、著地指數、垂直硬度、腿部硬度等跑步技術變項的優劣,主要來自於跑者的天賦(很難透過主觀意識來改變); 就算跑步時採用一致的步頻,能力不同的跑者,仍然會因為技術變項的差異,出現不同的跑步表現。理解自己跑步的天賦能力後,選定合適的跑步速度與對應跑步技術,才是聰明、有智慧的跑者。 |
跑步運動競賽的配速策略,包括負向配速策略(negative pacing strategy)、全力衝刺配速策略(all-out pacing strategy)、正向配速策略(positive pacing strategy)、等速配速策略(even pacing strategy)、曲線配速策略(parabolic-shaped pacing strategy,包括 U 型、反 J 型、J 型)、可變配速策略(variable pacing strategy)(Abbiss & Laursen,2008)。
一般來說,短時間的高強度比賽通常採用全力衝刺配速策略,當比賽時間增加到 1.5 至 2 分鐘的比賽時,則採用正向配速(前快後慢) 策略;比賽時間超過 2 分鐘的比賽項目,等速配速策略、可變配速策略的採用,則需視地形與環境狀況調整;當比賽屬於超長時間比賽項目時,則可採用隨著比賽時間增加逐漸減少運動強度的正向配速策略。
實際上,運動競賽配速策略,除了運動項目比賽時間的影響條件之外,還受到運動參與者的能力、訓練與比賽經驗、個人喜好、...... 等影響,並不易出現「 完美 」、「 理想 」配速策略,而且運動者運動能力可能比配速策略還重要。
馬拉松比賽的配速方式,通常採用隨著比賽時間增加逐漸減少跑步速度的正向配速策略進行比賽。Ely 等(2008)收集日本東京馬拉松 16 年(1984-1999)、大阪馬拉松 26 年(1982-2007)、名古屋馬拉松 20 年(1987-2007)共 59 場比賽(1988 年和 2004 年的名古屋馬拉松賽、1995 年的大阪馬拉松賽因地震而取消)的成績,每一場馬拉松比賽優勝者、第 25 名、第 50 名、第 100 名(共 219 名不同女性馬拉松運動員)的每五公里配速資料,左圖即呈現不同能力跑者在比賽過程的跑步時間差異,研究發現最快的馬拉松運動員(獲勝者)整個比賽中的配速均勻,但是能力較弱女性馬拉松跑者,在 20-25 公里後會逐漸增加秒數(減速)。除非是最優秀的女性馬拉松跑者,大部分女性馬拉松選手都是採用前快後慢的正向配速策略。
Renfree 與 Gibso(2013)以 2009 年 IAAF Women's Marathon Championship 比賽的資料,依據參賽選手的排名,每 25% 分為一組、共分為四組,研究發現成績最好的一組在所有每 5 公里的平均速度都優於其他三組,而且第一組與第二組選手在前面 15 公里的平均速度有越來越快的趨勢,成績較差的第三組與第四組選手則有平均速度逐漸降低的狀況;所有的選手在最後的 2 公里多,都有加速的趨向(下圖)。優秀女子馬拉松選手的跑步速度,在 15 公里、30 公里、以及比賽最後出現配速高峰,配速策略比較趨向於可變配速;一般成績的女子馬拉松選手則以正向配速(前快後慢)策略、或者反 J 型曲線配速(前快後慢、最後加快)策略。
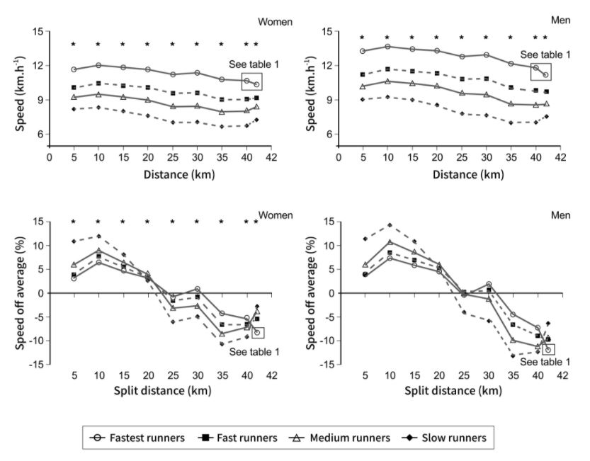
除了分析優秀馬拉松選手的比賽配速之外,Santos-Lozano 等(2014)收集 2006 至 2011 紐約馬拉松比賽,總共 190228 名(69316 名女性、120912 名男性)完成比賽的休閒跑者比賽成績。最快的跑者(Group 1)是指馬拉松比賽成績 ≤ 219 分鐘(男性)與 ≤ 245 分鐘(女性),快的跑者(Group 2)是指馬拉松比賽成績 220–247 分鐘(男性) 與 246–273 分鐘(女性),中等跑者(Group 3)是指馬拉松比賽成績 248–280 分鐘(男性) 與 274–307 分鐘(女性),慢的跑者(Group 4) > 281 分鐘(男性)與 > 308 分鐘(女性)。
研究結果如下圖所示,不管男性或女性的不同能力跑者,在不同距離時的跑步速度皆有顯著的差異,但是在配速的策略上,只有在 40 公里之後的最後二公里多有不同的配速策略。休閒跑者仍然與優秀的跑者類似,採用前快後慢的方式進行馬拉松比賽,但是較佳跑步者具備較低的速度變化 7.8%、女性 6.6%),成績較差的休閒跑步者的速度變化較大(8.3%到 14.4%)。男女都試圖在馬拉松比賽中保持平穩的速度,部分原因是避免比賽開始過快,可能導致下半場比賽的速度明顯下降。
馬拉松比賽時配速的範圍應該如何進行設定呢?理論上來說,馬拉松運動員應該進行跑步時的攝氧分析,以便獲得可以長時間跑步的最佳速度範圍。依照人體運動時使用能量代謝的特徵來看,隨著運動強度的增加,身體使用氧氣與產生二氧化碳的狀況,可以分類出三種運動強度,可以長時間運動的有氧運動強度、二氧化碳穩定增加的運動強度、以及二氧化碳會大量增加的運動強度(下圖。Lucía 等,2000;Foster 等,2001),依據換氣閾值(ventilatory threshold, VT, 下圖中的 VT1)與呼吸代償點(respiratory compensation point,RCP),或下圖中的 VT2。馬拉松跑者如果可以找到 VT2 與 VT1 對應的跑步速度,就可以依據這兩個速度進行馬拉松比賽的配速,透過實驗室的漸增負荷攝氧分析實驗,是取得準確 VT2 與 VT1 的最有效方式。
事實上,經常訓練的跑者,可以透過運動生理學網站的跑步運動生理能力評量程式,進行 VT2 與 VT1 評估,也可以參考下表對於不同能力跑者的 VT2 與 VT1 的速度建議。
本文收集謝千鶴選手、蔡昀軒老師、王鶴森教授三人,參加 2018 台北馬拉松比賽的分段配速資料,進行三人配速資料的分析。謝千鶴比賽成績為 02:40:41、每公里配速在 3 分 41 秒至 3 分 57 秒之間、配速範圍在 -3.79% 至 3.18% 之間,配速的範圍幾乎與上表的建議範圍一致,配速策略採用先快後慢的正向配速策略,10-20 公里配速可以加快、30-35 公里的配速可以減慢;蔡昀軒比賽成績為 02:56:54、每公里配速在 3 分 55 秒至 4 分 18 秒之間、配速範圍在 -3.14% 至 6.34% 之間,配速的範圍明顯大於上表的建議範圍,配速策略採用先慢後快的反向配速策略,明顯與參考文獻中的馬拉松比賽跑者的配速策略不同,調整配速策略似乎是蔡昀軒接下去訓練的重點;王鶴森比賽成績為 03:24:49、每公里配速在 4 分 28 秒至 5 分 22 秒之間、配速範圍在 -9.77% 至 8.41% 之間,配速策略正確、但是配速範圍過大,擔任台灣師大體育室主任的王鶴森教授,可能沒有太多時間訓練,造成比賽 30 公里之後的減速明顯。
三人配速範圍與文獻中的結論「 能力越好的跑者跑步速度的差異越小 」類似,但是配速策略有些不同,謝千鶴與王鶴森趨向於正向配速(先快後慢)策略,蔡昀軒則趨向於反向配速(先慢後快)策略。
參考學術文獻有關馬拉松比賽的配速策略來看,選定正向配速策略可能是比較有效率的馬拉松比賽策略,否則也應該採用等速策略進行比賽較佳。對於長距離比賽的選手來說,嘗試訓練符合個人能力的比賽策略,應該是創造個人最佳表現的訓練重點之一。
馬拉松比賽的配速方法,重點在於配速範圍與配速策略。依據預定完成的馬拉松跑步成績,進行配速範圍的選定,並且規劃採用先快後慢的正向配速策略,讓馬拉松比賽過程處於呼吸代償點(RCP, VT2)與換氣閾值(VT, VT1)強度範圍中,將有助於馬拉松跑者創造馬拉松比賽的最佳表現。
資料來源:《做個有智慧的跑者:科學化跑步訓練與線上 AI 輔助系統》
作者:王順正、林玉瓊。旗標科技股份有限公司出版。
現在,運動筆記想將這本好書送給您!方法相當簡單,只要到 粉絲團貼文底下 回答問題,就取得抽獎資格。一個帳號限回答一次,不可重覆回答、答案也不得與其他網友雷同。我們將電腦隨機抽出 5 名跑友 !填答時間:2020年8月18日(二)中午12點至2020年8月21日(五)中午12點止。
Q:參加馬拉松賽事,你都如何配速呢?或有什麼比賽策略呢?請簡述分享
A:__________(來這裡回答喔)連結於 8/18 12:15 開啟
贈書來源:旗標科技股份有限公司出版,贈品將由出版直接寄出,活動對象僅限台灣的跑友,海外跑友恕無法寄送贈書。(台灣跑友如因個人因素逾時未能收件,視為放棄中獎資格,恕不提供補寄服務。)運動筆記保留以上活動內容修改、終止之權利。
*跑步好書 盡在運動筆記*
往下滑看下一篇

